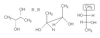
PROJECCIONS DE FISCHER
Els models de dibuix amb linies i angles son de fet formes en 3D, per tal de simplificar la comparació estrcutural i estereoquímica entre molècules Fischer va idear una projecció plana que es fa construint primer un model de cavallet on l'esquelet principal de la molècula queda sempre eclipsat, a partir d'aquest model imaginari, s'estira la molecula en posició vertical (no mostrat) quedant els substituents (potes dels cavallets) orinetats endavant; l'ultima operació és xafar aquest model contra el plà.
Les seguents figures mostren els models de linies i angles i les projeccions de cavallet i fischer per a cadascun dels estereoisomers del 2,3-dihidroxibutà:


